Research

Force-free Wave Interaction in Magnetar Magnetospheres: Computational Modeling in Axisymmetry featured image

Force-free Wave Interaction in Magnetar Magnetospheres: Computational Modeling in Axisymmetry

How waves interact in the magnetar magnetosphere?

jens-mahlmann

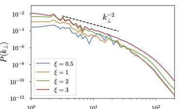
Cosmology with Fuzzy Dark Matter Model

Numerical study of Fuzzy Dark Matter

avatar
Xinyu Li
An Intermediate-field Fast Radio Burst Model and the Quasi-periodic Oscillation featured image

An Intermediate-field Fast Radio Burst Model and the Quasi-periodic Oscillation

A new theory of Fast Radio Burst.

jie-shuang-wang

If Dark Matter is Fuzzy, the First Stars Form in Massive Pancakes

Star formation in FDM model.

mihir-kulkarni

Propagation of a Strong Fast Magnetosonic Wave in the Magnetosphere of a Neutron Star

Formation of monster shock from strong wave propagation.

alex-chen

Dynamical Effects of Colliding Outflows in Binary Systems

Negative dynamical friction can increase the orbital separation.

lile-wang

Construction of wave dark matter halos: Numerical algorithm and analytical constraints

A wave Schwarzschild method.

tomer-yavetz